纽约大学普林斯顿大学:65岁以上美国老人分享的假新闻数量最多
作者:CQITer小编 时间:2019-01-15 01:25
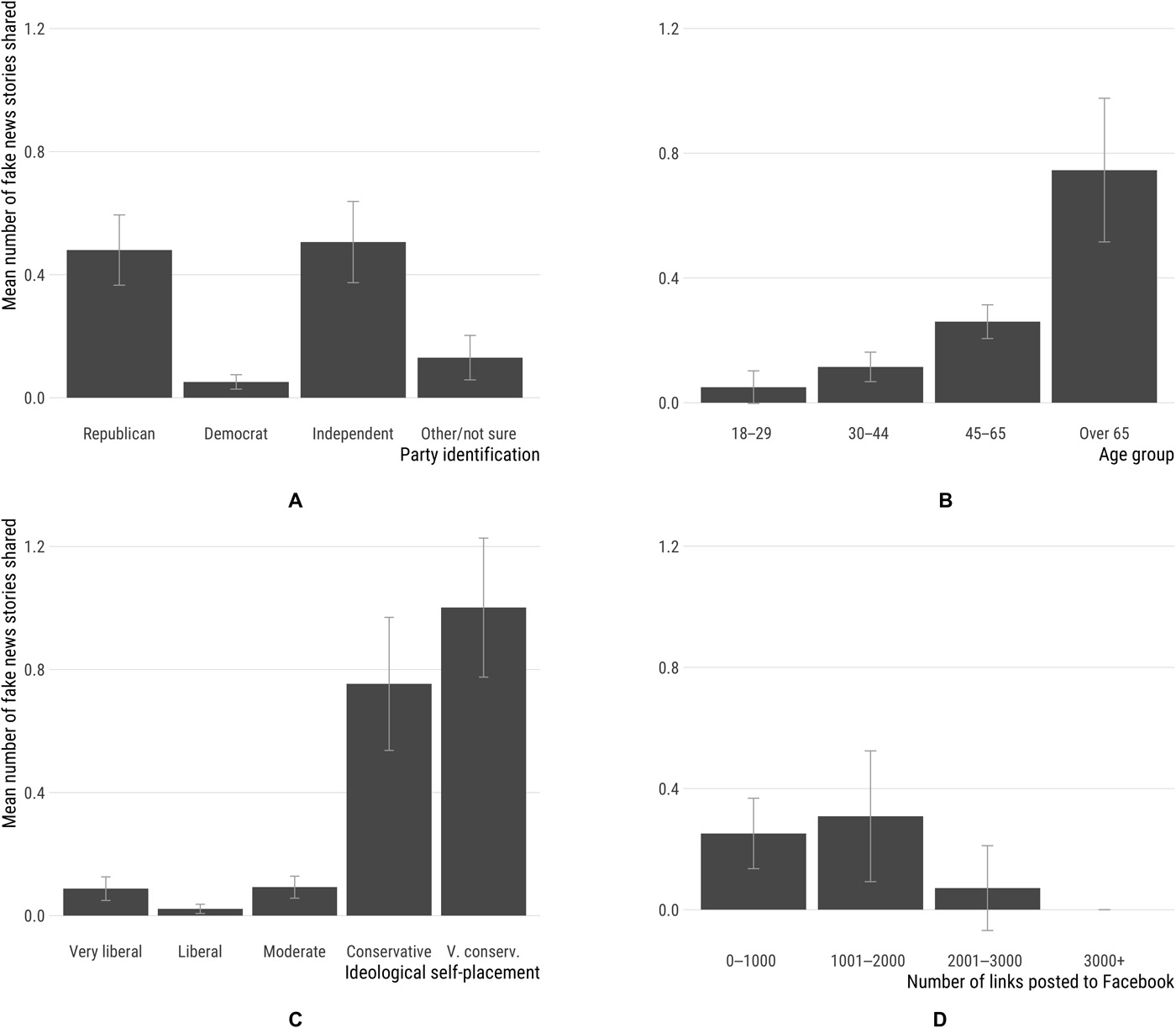
根据纽约大学和普林斯顿大学研究团队的最新分析报告,年长美国人在Facebook上分享虚假新闻的概率更大。无关教育接受程度、性别、种族、收入,美国老年人分享的假新闻数量要多于年轻人。这份研究报告发表在《Science Advances》上,研究了2016年美国总统大选期间前后几个月的用户行为。

在2016年初,科研团队和研究公司YouGov合作组建了一个由3500人组成的小组,其中包括Facebook用户和非Facebook对照组。11月16日在大选结束之后,他们要求Facebook小组的用户安装一个应用程序,允许他们共享数据,包括公共个人资料字段,宗教和政治观点,他们自己的时间表的帖子,以及他们关注的页面。用户可以选择加入或者不共享各类数据,但是研究人员无法访问新闻来源或者有关朋友的数据。
Facebook小组中有49%的参与者同意分享他们的个人资料。科研人员随后根据BuzzFeed记者克雷格·西尔弗曼(Craig Silverman)编制收集的假新闻链接库,对他们分享的链接内容进行了审查。在所有年龄段中,分享假新闻的用户数量并不多。
在研究中只有8.5%的用户分享了至少1条假新闻,支持美国保守派的用户分享的假新闻要比支持美国自由派的用户要多:支持共和党的用户中有18%的人分享了假新闻的链接,而民主党人士只有4%。
从年龄上来划分,11%的65岁以上用户分享了虚假新闻,而18-29岁年轻人只有3%。65岁以上的Facebook用户所分享的假新闻数量要比45-65年龄段用户数量多两倍,是18-29岁年龄段用户数量的7倍。

自 cnbeta
更多阅读:
The Media Insight:研究称由“对的人”分享的假新闻 更易被认为是真的
研究显示假新闻在Twitter上的传播速度远快于真新闻
斯坦福大学:研究发现82%的学生不能辨别假新闻
普林斯顿大学:比特币挖矿的耗电量接近全球总耗电量的 1%
普林斯顿大学:研究发现人工智能系统存在种族歧视倾向
普林斯顿大学:研究显示新闻网站比色情网站对用户监控力度高出一个数量级
纽约大学:研究显示一张纸币有数千种细菌及病毒
纽约大学:人们为何会对科技上瘾?该怎么破?
纽约大学:研究发现低收入地区晚上社交网络更活跃
纽约大学:研究发现地铁越挤手机广告效果越好
纽约大学:研究显示婴儿阅读产品并不奏效
纽约大学&俄亥俄州立大学:美国外热门专业博士就业状况调查
纽约大学:研究发现低收入消费者在驾乘分享中获得的消费效用是不成比例
纽约大学:研究发现女性有106度倾角鼻子最具女人味


